山西大学江南在线登录
|
设为江南在线登录
|
加入收藏
|
中文版
|
English
首 页
学院概况
学院简介
历史沿革
部校共建
组织机构
师资队伍
特聘教授
教授
副教授
讲师
外聘教师
党政教辅
人才培养
本科生
研究生
学术科研
学术动态
学科建设
科研成果
科研获奖
合作交流
党群工作
党建工作
工会工作
学生发展
团学工作
闻新社区
学生作品
招生就业
招生信息
就业信息
校友园地
校友风采
校友讲坛
老照片
文件下载
当前位置:
江南在线登录
»
招生就业
» 招生信息
招生就业
招生信息
就业信息
招生信息
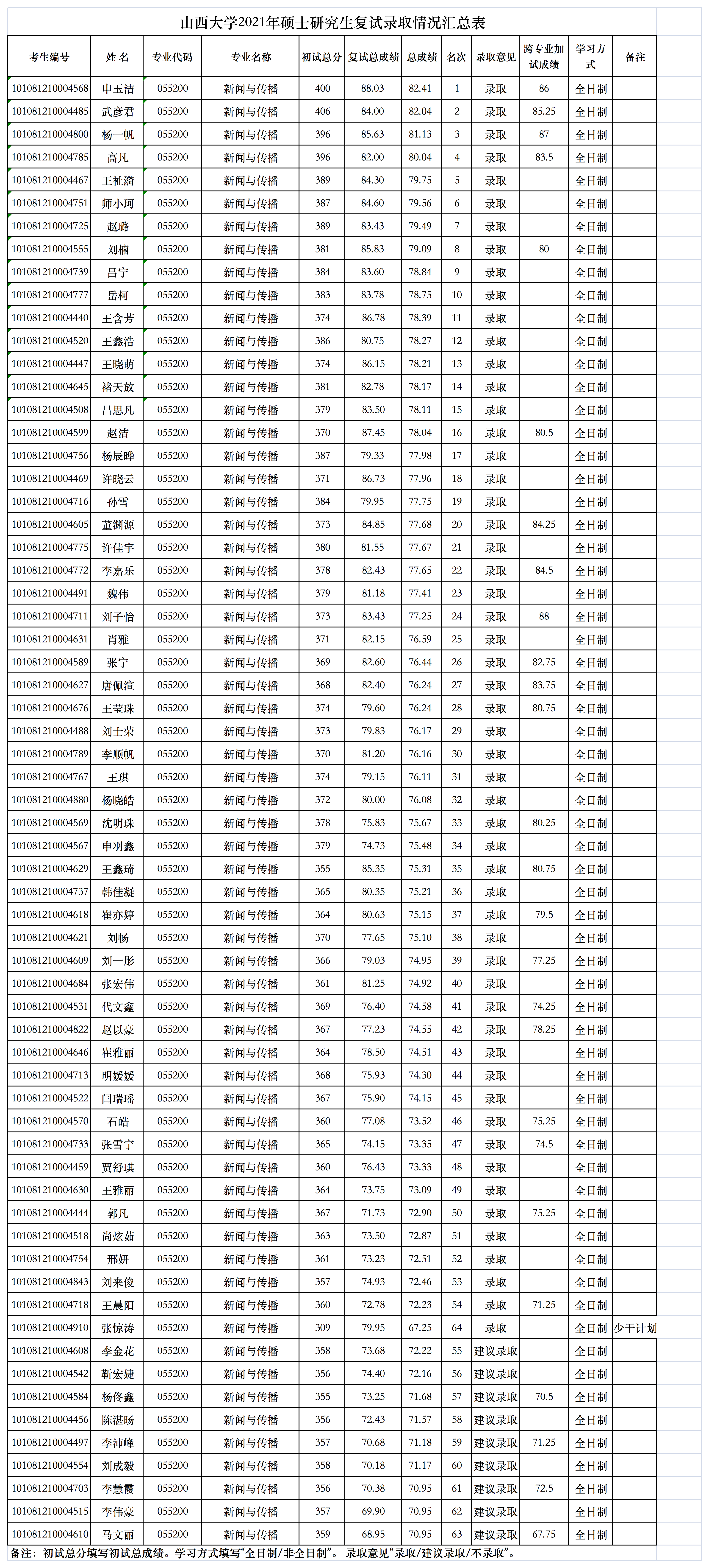
山西大学新闻学院2021年硕士研究生复试录取情况公示
时间:2021-04-03 阅读次数:
半岛网页版-半岛(中国)官方
|
广发体育官网首页
|
米兰·体育
|
开云官方端网站登录入口
|
九游登录个人中心网页版
|
江南手机网页版登录入口
|
千亿体育中国官网首页中国有限公司
|
拼搏平台入口
|
九州官方(中国)总部
|
山西大学新闻学院 联系电话:0351-7011855 地 址:山西省太原市坞城路92号(邮编 030006) (晋)ICP备05000471号
建议浏览使用:1024*768分辨率、16位以上颜色、Mozilla1.7、IE6.0版本浏览器
半岛网页版-半岛(中国)官方
|
广发体育官网首页
|
米兰·体育
|
开云官方端网站登录入口
|
九游登录个人中心网页版
|
江南手机网页版登录入口
|
千亿体育中国官网首页中国有限公司
|
拼搏平台入口
|
九州官方(中国)总部
|